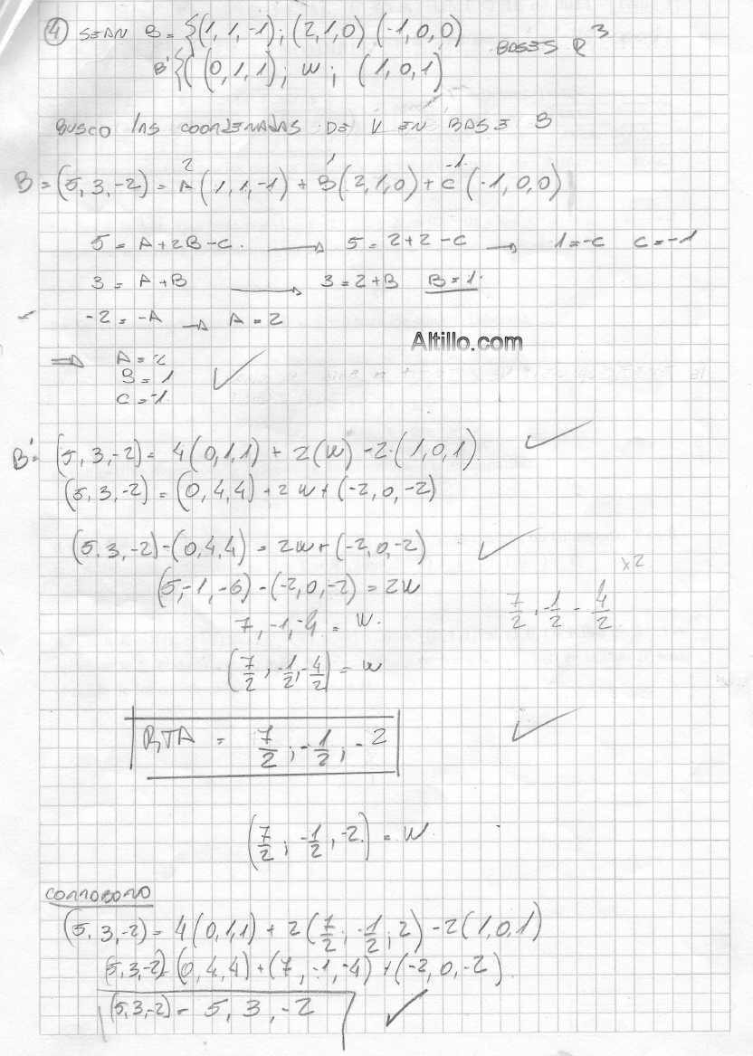
Altillo.com > Exámenes > UBA - CBC > Álgebra


2014  |  1° Parcial (C)  |  Cátedra: Única