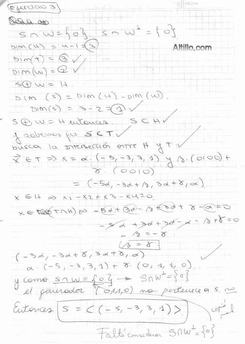
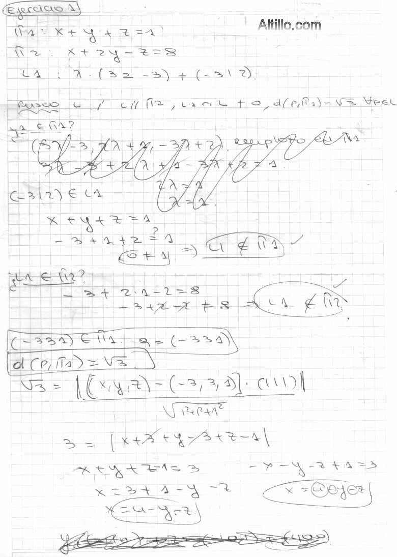
Altillo.com > Exámenes > UBA - CBC > Álgebra


2° Cuat. de 2013  |  1° Parcial (H)  |  Sede: Paternal  |  Cátedra: Unica