Altillo.com
>
Exámenes
>
UBA - CBC
>
Álgebra
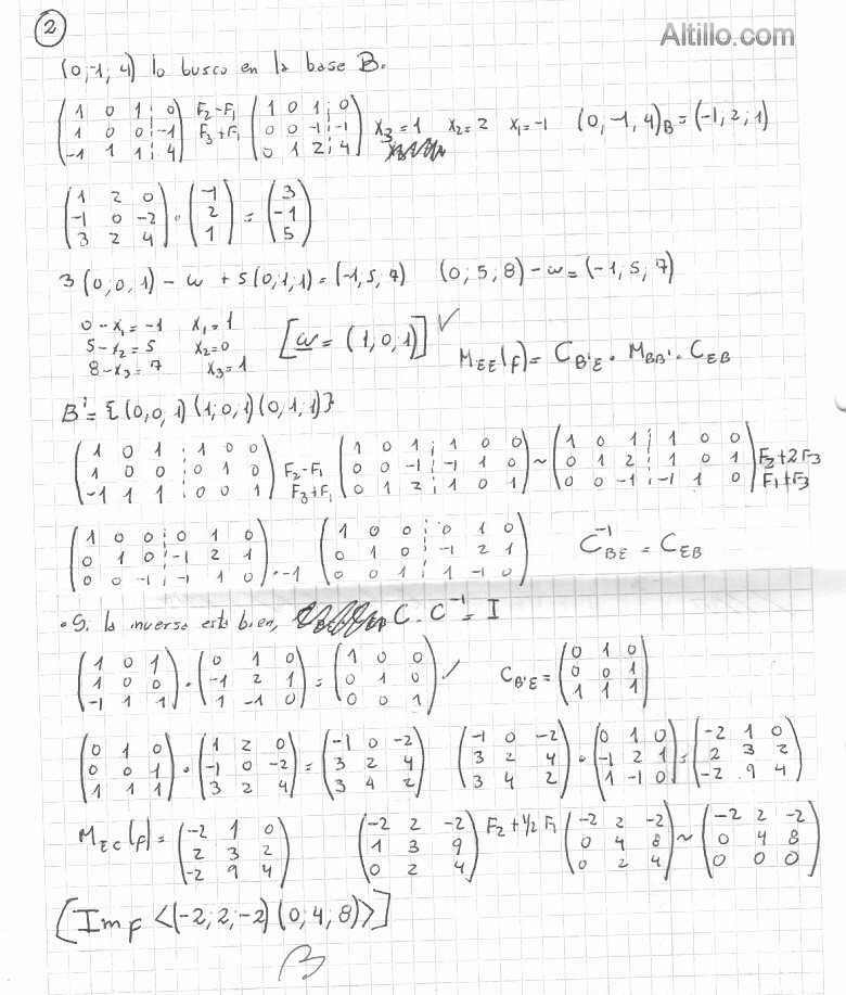
Álgebra
2
°
Parcial
2
°
Cuat. de 2012
Altillo.com