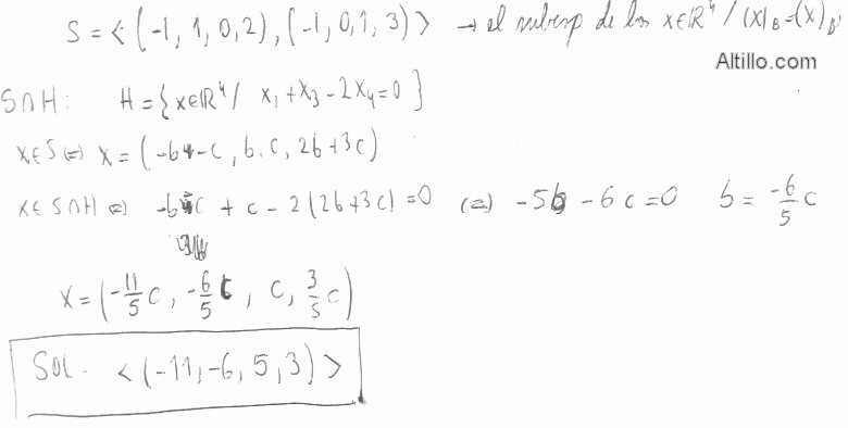
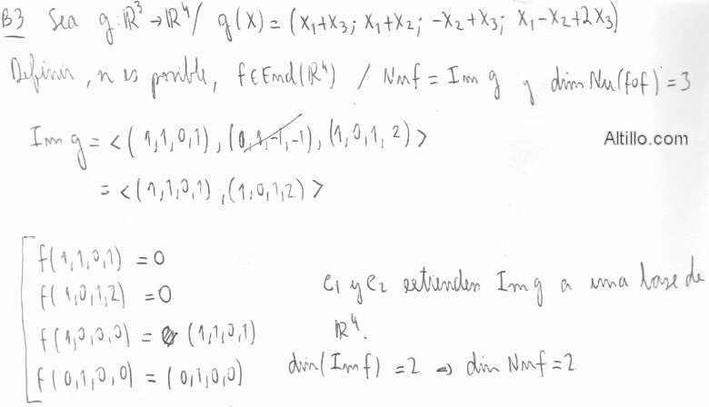
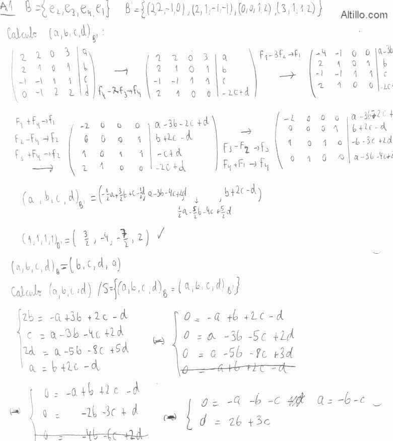
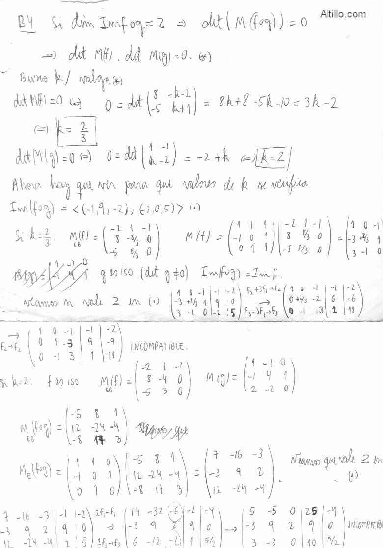
Altillo.com > Exámenes > UBA - CBC > Álgebra

Álgebra

Recuperatorio

2° Cuat. de 2009 Altillo.com