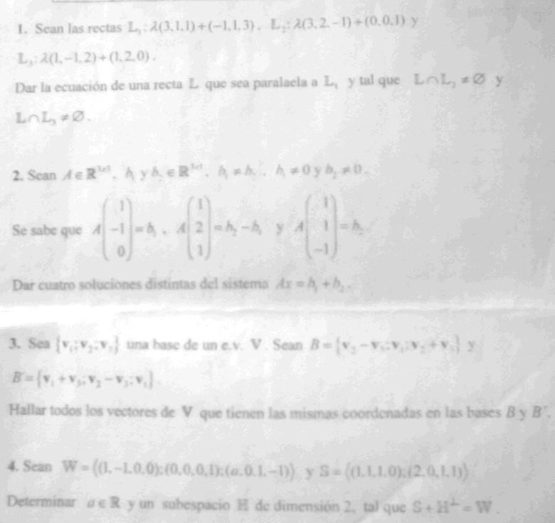
Altillo.com > Exámenes > UBA - CBC > Álgebra

Álgebra

1º Parcial 2° Cuat. de 2008

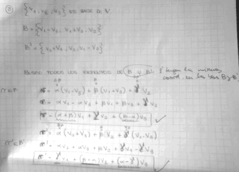
Altillo.com