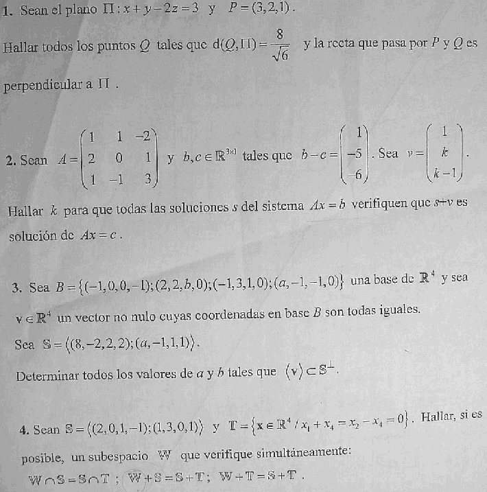
Altillo.com > Exámenes > UBA - CBC > Álgebra

Álgebra

1° Parcial (Con Respuestas)

2° Cuat. de 2007 Altillo.com

Respuestas del parcial:

1) y

2) k = 4

3) Una solución es W = < (-3; 3; -2; 3) , (0; -6; 1; 3) ; (0; 0; 1; 0) >

4) Las condiciones pedidas se cumplen cuando a = 0 y b = 5, ó a = 4 y b = -11