Altillo.com
>
Exámenes
>
UBA - CBC
>
Álgebra
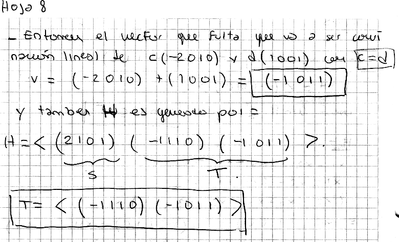
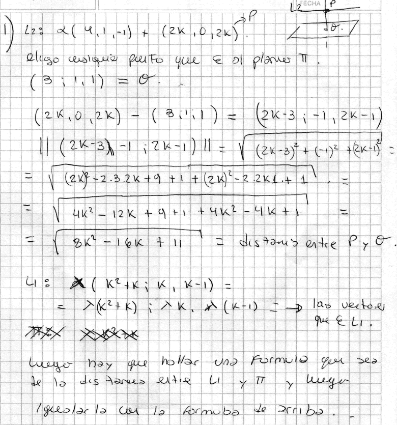
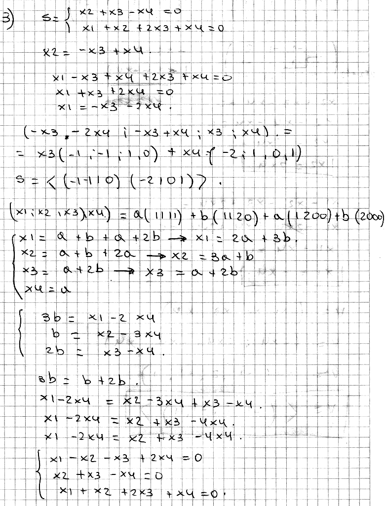
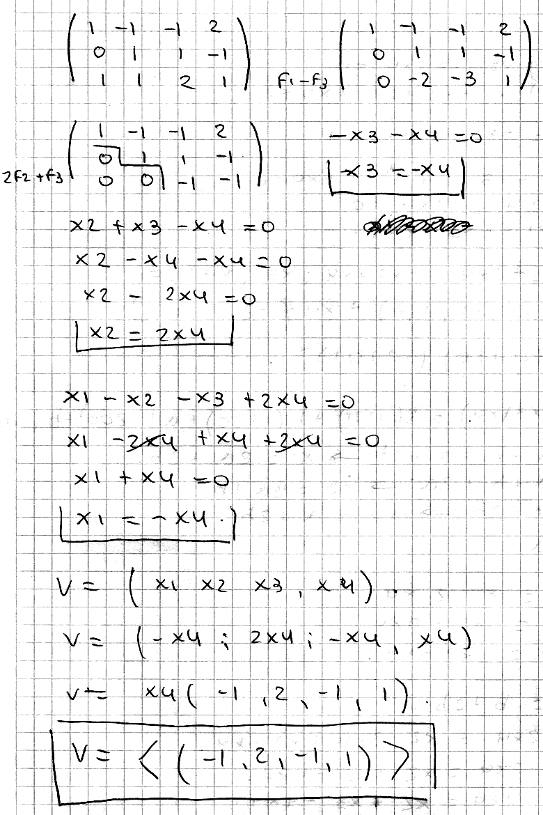
Álgebra
1
°
Parcial Resuelto
2
°
Cuat. de 2006
Altillo.com