Altillo.com > Exámenes > UBA - CBC > Álgebra

Álgebra

2° Parcial

2° Cuat. de 2004 Altillo.com

1) Sean , y la t.l. dada por . Definir una t.l. . Tal que g no sea isomorfismo y f(g(S))=T.

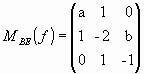
2) Sean B={(0,1,1);(1,0,1);(0,1,0)} y la transformación lineal tal que .
Encontrar a y b ε R tales que dim(Nu f)=1 y f(1,b,1)=(1,2,1-b).

3) Sea P(x)= x4 – 103 + 38x2 -74x + α. Determinar α para que 4+i sea raíz de P, y hallar todas las raíces de P.

4) Sean B={v1;v2;v3} y B´={v1+v2+v3;v1-v2;v2+v3}bases de un espacio vectorial V y f:V→V la transformación lineal tal que .