Altillo.com > Exámenes > UBA - CBC > Álgebra

Álgebra

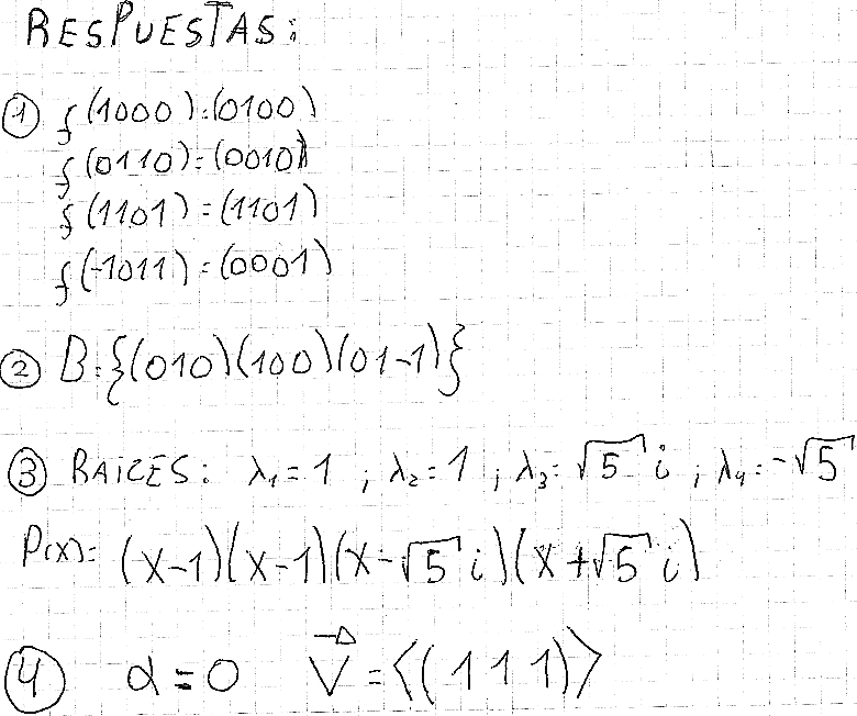
2° Parcial

Tema: 4

1° Cuat. de 2001

Altillo.com