Altillo.com > Ex�menes > UBA - CBC > �lgebra

�lgebra

1 Parcial

1995

Altillo.com

1) Sean en R� los planos determinar todos los puntos de P2que disten 2 de P1.

2) Si calcular la dimensi�n de S a para cada valor de a en R.

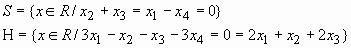
3) Sean los subespacios hallar P � R 4 que verifique:

4) es una soluci�n de A .X = b con b � 0 y el conjunto de soluciones del sistema A . X = 0 es , hallar todas las soluciones de A .X = 3 b.