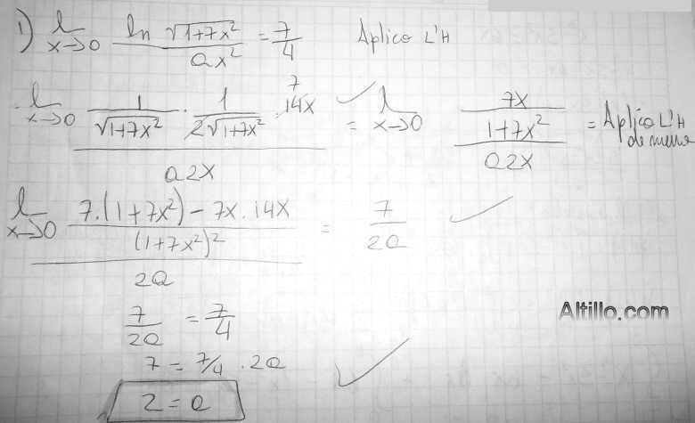
Altillo.com > Exámenes > UBA - Económicas > Análisis


1° Cuat. de 2014  |  2° Parcial (B)  |  Sede: Drago  |  Cátedra: Gutierrez