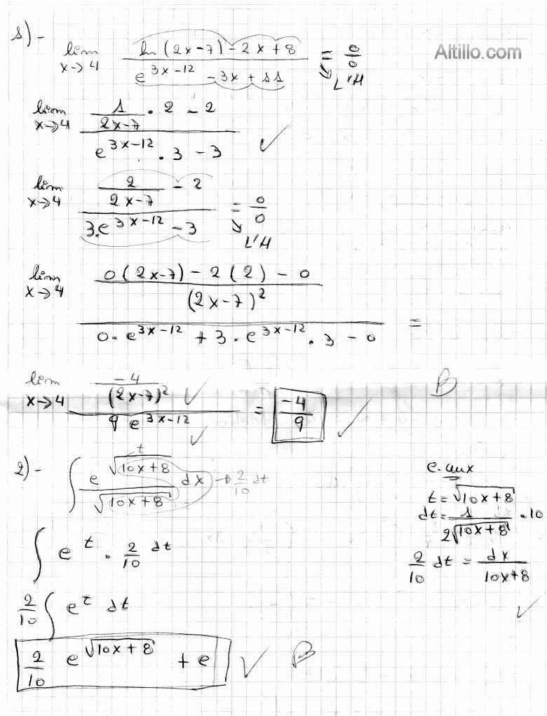
Altillo.com > Exámenes > UBA - Económicas > Análisis

Análisis

2º Parcial

Cátedra: Gutiérrez Sede: Avellaneda

2° Cuat. de 2012

Altillo.com