Altillo.com > Exámenes > UBA - Económicas > Análisis

Análisis

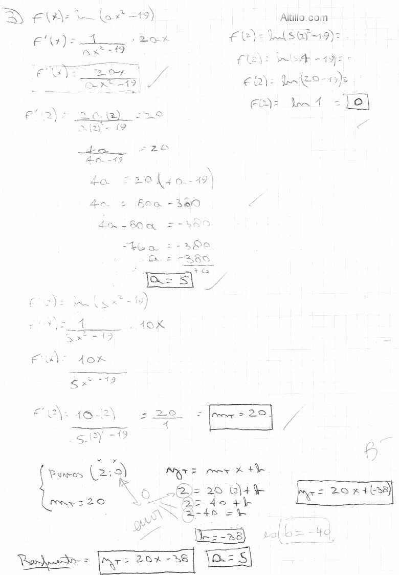
1º Parcial

Cátedra: Gutiérrez Sede: Avellaneda

1° Cuat. de 2011

Altillo.com