Altillo.com > Exámenes > UBA - Económicas > Análisis

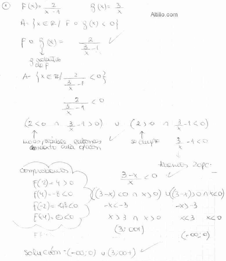
Análisis

1º Parcial

Cátedra: Gutiérrez Sede: Drago

2° Cuat. de 2010

Altillo.com