Altillo.com > Exámenes > UBA - Económicas > Álgebra

Álgebra

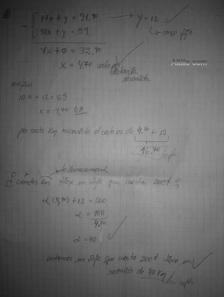
1º Parcial

Cátedra: Fauring

 2º Cuat. del 2013

Altillo.com