Altillo.com > Exámenes > UBA - Económicas > Álgebra

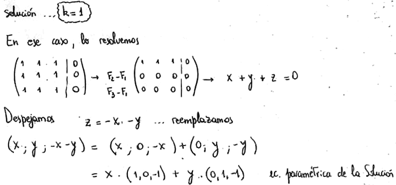
Álgebra

1º Parcial

Cátedra: Font de Malugani (ex-Thompson) Año 2008

Altillo.com