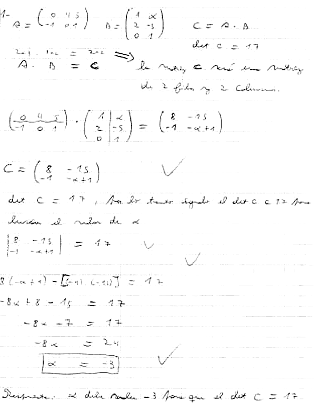
Altillo.com > Exámenes > UBA - Económicas > Álgebra

Álgebra

2º Parcial

Cátedra: Fauring (ex gutierrez) Tema: 1 Sede  Drago

2º Cuat. del 2007

Altillo.com