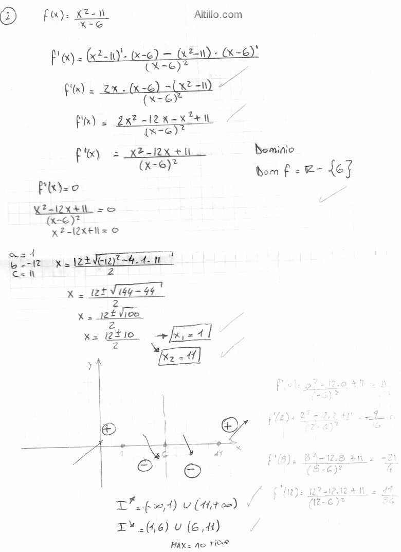
Altillo.com > Exámenes > UBA - CBC > Matemática

Matemática

2º Parcial

Cátedra: Gutiérrez Sede: Ciudad Universitaria

1° Cuat. de 2010

Altillo.com