Altillo.com > Exámenes > UBA - CBC > Matemática

Matemática

1º Parcial

Cátedra: Gutiérrez Sede Montes de Oca

2° Cuat. de 2006

Altillo.com

En cada ejercicio escribir los razonamientos que justifiquen la respuesta

1) Hallar la ecuación de la recta de pendiente 2 que pasa por el punto (2;5) y determinar la distancia entre los puntos en los que dicha recta corta a los ejes coordenados.
 

2) Hallar la función cuadrática f sabiendo que Im f =y que el conjunto de ceros de f es {-1; 9}

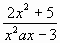
3) Sea f (x) =

Encontrar el valor de para que la recta x=3 sea asíntota vertical de f. Para el valor de A hallado escribir las ecuaciones de todas las asíntotas de f

4) A) Hallar el dominio natural y los ceros de f (x)= ln (5x+3)

B) Encontrar Dom f tal que f ( ) = -3