Altillo.com > Exámenes > UBA - CBC > Matemática
|
Matemática |
2º Parcial |
Sede Ciudad |
2° Cuat. de 2004 |
Altillo.com |
1) Sea f (x) = ax+ 5 ln ( 2x - 3). Determinar el valor de a para que la recta tangente al gráfico de f en el punto (2, f (2) ) tenga pendiente 6.
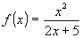
2) Hallar dominio, intérvalos de crecimiento y de decrecimiento, máximos y mínimos locales y ecuaciones de las asíntotas de la función.
. Graficar
aproximadamente.
3) Hallar 
4) Hallar el área de la región limitada por las curvas y= x2, y = ½ x2 + 8