Altillo.com > Exámenes > UBA - CBC > Matemática
|
Matemática |
Final |
Tema 2 |
1996 |
Altillo.com |
1) La función
tiene una asíntota vertical en:
a)
b)
y
c)
d) ![]()
2) Sea el polinomio
.
Su conjunto de ceros es:
a)
b)
c)
d) ![]()
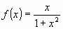
3) La función
en
tiene
a) algún cero b) un único cero
c) dos ceros d) infinitos ceros
4) La función
tiene asíntota vertical en:
a) x = 0 b) x = 3 ; x
= -2 c) x =
3 d) x = 1 ; x = -2
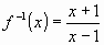
5) La función inversa de
es:
a)
b)
c)
d)
ninguna de estas
6) La recta tangente a
en
es:
a) y = x -1 b) y
= x + 1
c) y = -x
-1 d) y = -x + 1
7) La función
es creciente en
a)
b)
c)
d) ![]()
8) La derivada de
es:
a)
b)
c)
d) ![]()
9) Sea
entonces su dominio es:
a)
b)
c)
d) ![]()
10) Una primitiva de la función
es:
a)
b)
c)
d) ![]()
11) El área encerrada bajo la curva
,
las x = 1 ; x = -2 y el eje de las x es:
a)
b) 
c)
d) ninguna de las anteriores
12) Dadas las siguientes afirmaciones:
I)
‘
=
’.
’
II)
’
= 2.
’
-
’
a) I es Verdadera y II es Falsa b) I
es Verdadera y II también
c) I es Falsa y II es Verdadera d) I
es Falsa y II también
13) Dadas las siguientes afirmaciones:
I) ![]()
II) ![]()
a) I es Verdadera y II es Falsa
b) I es Verdadera y II también
c) I es Falsa y II es Verdadera d) I
es Falsa y II también
14) Si
,
entonces su derivada es:
a)
b) g’= x . ln(x) +
2 c) g’= ln(x) +
4 d) Ninguna
de las anteriores
15) Dada la igualdad:
los valores de A, B y C son
a) A = 2, B = 0, C = 1 b)
,
B = 1, C = 2
c)
,
B = 0, C = 2 d) ninguna de las
anteriores
16) Sean las funciones
y ![]()
a)
b)
c)
d) ![]()
17) El área encerrada por f(x) = cos (x) - sen (x),
y las rectas x = 0 y
vale
a) cero b) P
c) 1 d)
ninguna de las anteriores
Respuestas
