Altillo.com > Exámenes > UBA - CBC > Análisis

Análisis

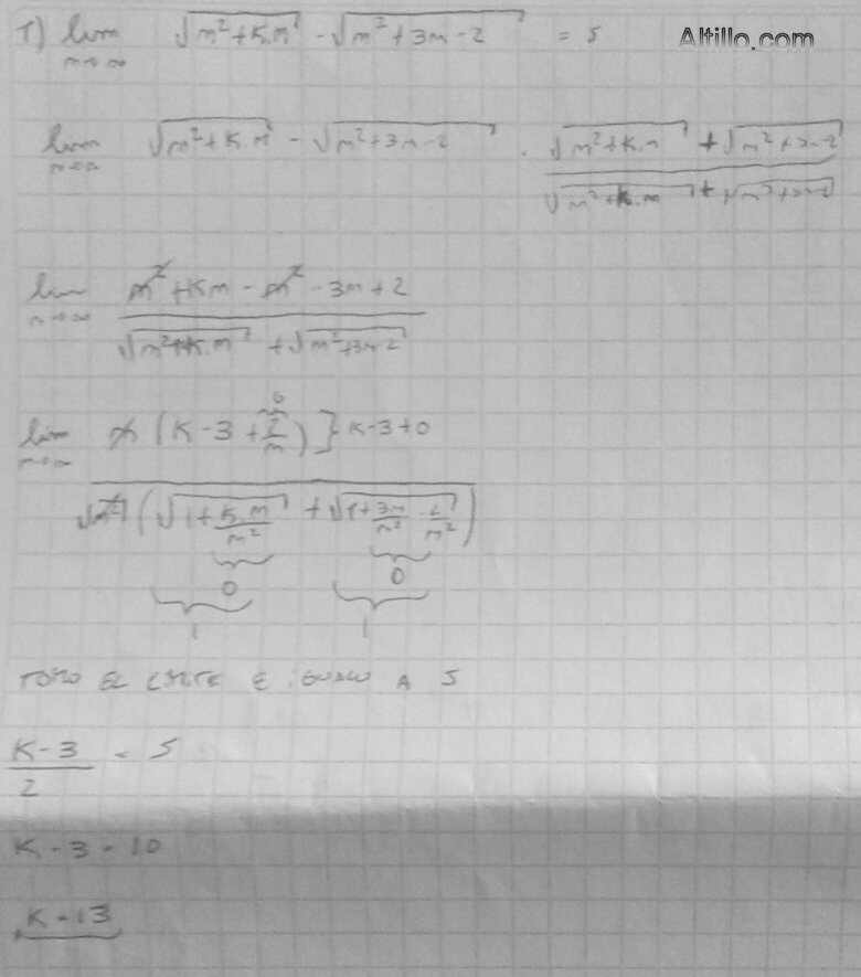
1º Parcial

Cátedra: única (Gutiérrez) Sede: Drago

2º Cuat. de 2013

Altillo.com