Altillo.com > Exámenes > UBA - Ciencias Exactas > Análisis I
|
Análisis I |
2° Parcial |
Cátedra única |
Sede: Ciudad Universitaria |
2º Cuat. de 2010 |
Altillo.com |





RESPUESTAS
1) P(x) = 4 +5X +2X²
2) f(8) = ln(97) ≈ 4,57
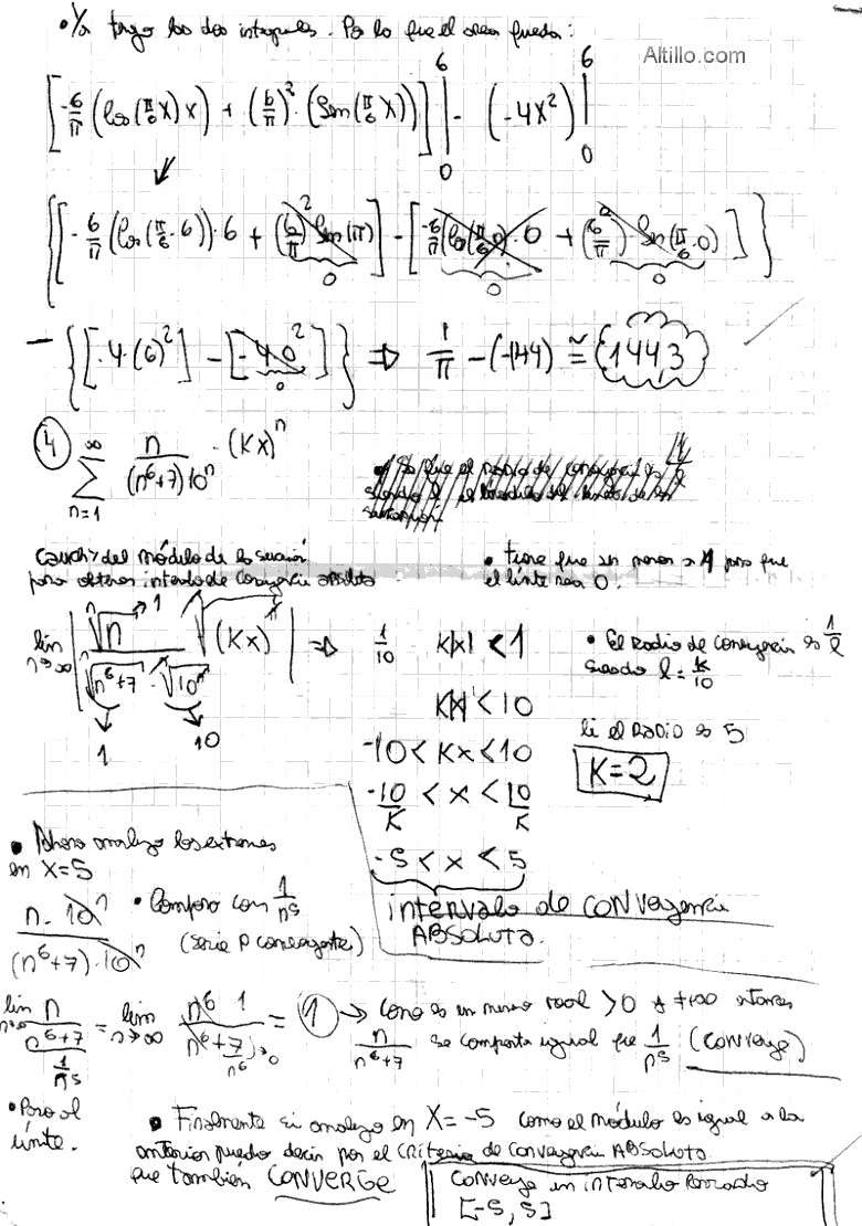
3) Area= 1/π + 144 ≈ 144,3
4) K=2 Converge en [-5,5]