Altillo.com > Exámenes > UBA - CBC > Análisis
|
Análisis |
2º Parcial |
Cat: Hansen |
1º Cuat. de 2004 |
Altillo.com |
1) Estudiar la siguiente función, puntos de inflexión, periodos de crecimiento y decrecimiento, concavidad y convexidad.
F(x)= x . (1 - x)1/2.
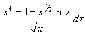
2) Integrar 
3) Calcular el área encerrada por las funciones. F(x)= x3 - 3x; G(x)= |x| (módulo de equis).
4) Definir si la siguiente serie es convergente, en caso de serlo calcular la sumatoria:
La serie de:
.