Altillo.com > Exámenes > UBA - CBC > Análisis
|
Análisis |
1º Parcial |
1º Cuat. de 2003 |
Altillo.com |
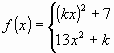
1) Sea
definida por
si
con
Considere la
sucesión an=1-
, n
. ¿Para qué valores de k resulta
.
2) Sea g(x)=x2+4+6ln(x). Halle todos los x tales que la pendiente de la recta tangente al gráfico de g es mayor o igual que 7.
3) Pruebe que 2x2 -
+ 1 > 0 para todo x
.
4) Sea f(x)= 
. Halle el dominio de f, intervalos de crecimiento, de decrecimiento, extremos locales y haga un gráfico aproximado.

4) x = -2 máximo local
x = 0 mínimo local y absoluto
x = -5/2 mínimo absoluto (no lo hallarás con la derivada)
crece en (-5/2;-2) y en (0;
)
decrece en (-2;0)