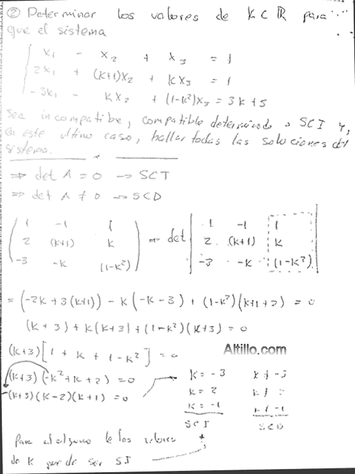
Altillo.com > Exámenes > UBA - CBC > Álgebra


2° Cuat. de 2014  |  1° Parcial (I)  Cátedra: Unica