Altillo.com > Exámenes > UBA - CBC > Álgebra

Álgebra

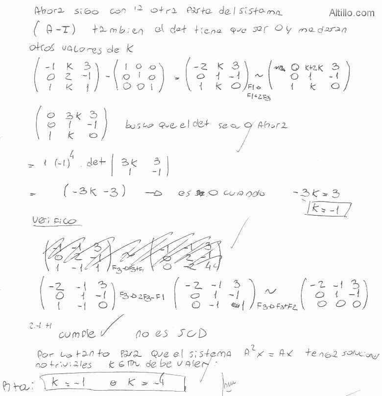
1° Parcial

2° Cuat. de 2010 Altillo.com

 

Aclaración: el vector que esta marcado en un circulo mal, la respuesta correcta era ( 0 , 1 , 0 , 1)