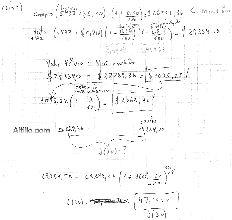
Altillo.com > Exámenes > UBA - Económicas > Cálculo Financiero


2° Cuat. de 2012  |  2° Parcial (A)  |  Sede: Cordoba  |  Profesor: Cuniolo Carlos Jose   |  Cátedra: Garnica Hervas