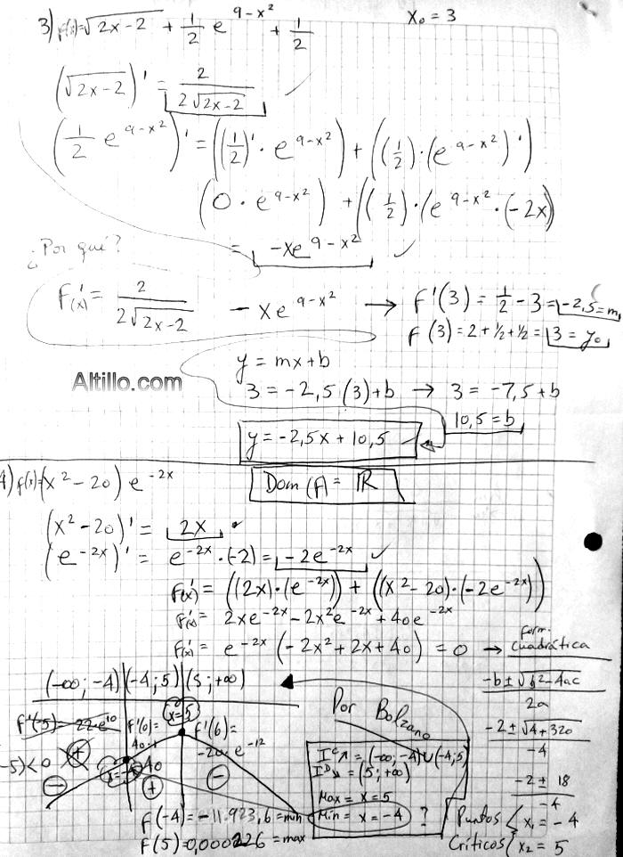
Altillo.com > Exámenes > UBA - Económicas > Análisis


1º Parcial B  |  Análisis Matemático (Cátedra: Gutierrez - 2015)  |  Cs. Económicas  |  UBA



 

Preguntas y Respuestas entre Usuarios: