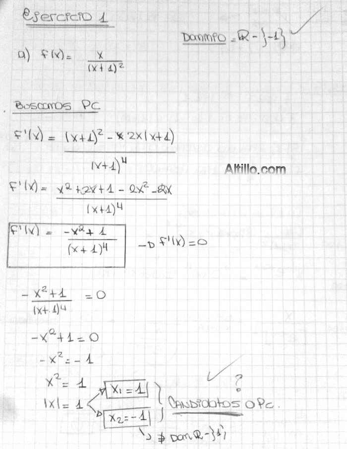
Altillo.com > Exámenes > UBA - Económicas > Análisis


2° Cuat. de 2014  |  2° Parcial (D)  |  Sede: Ramos Mejia  |  Cátedra: Thompson