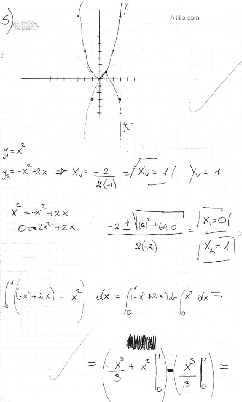
Altillo.com > Exámenes > UBA - Económicas > Análisis

Análisis

2º Parcial

Cat: Thompson Prof.: Grillo Sede Paternal

2º Cuat. de 2010

Altillo.com