Altillo.com > Exámenes > UBA - Económicas > Álgebra


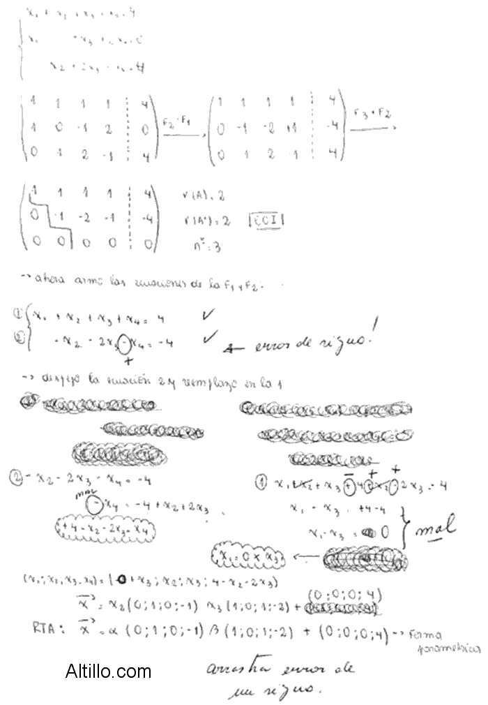
1º Parcial N  |  Algebra (Cátedra: Fauring - 2018)  |  CBC  |  UBA




 

Preguntas y Respuestas entre Usuarios: