Altillo.com > Exámenes > UBA - Económicas > Álgebra

Álgebra

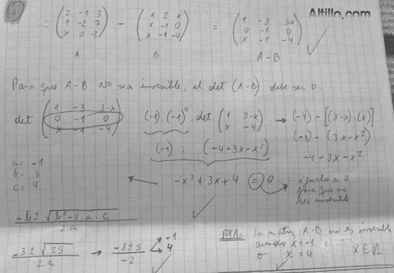
2º Parcial

Cátedra: Fauring (ex Gutiérrez) Sede: Montes de Oca

2º Cuat. del 2013

Altillo.com