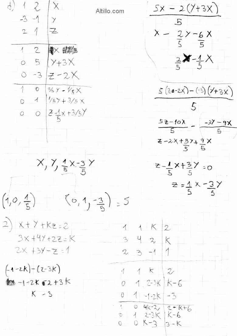
Altillo.com > Exámenes > UBA - Económicas > Álgebra

Álgebra

2º Parcial

Cátedra: Font de Malugani (ex-Thompson) 2º Cuat. de 2011

Altillo.com