Altillo.com > Exámenes > UBA - Económicas > Álgebra

Álgebra

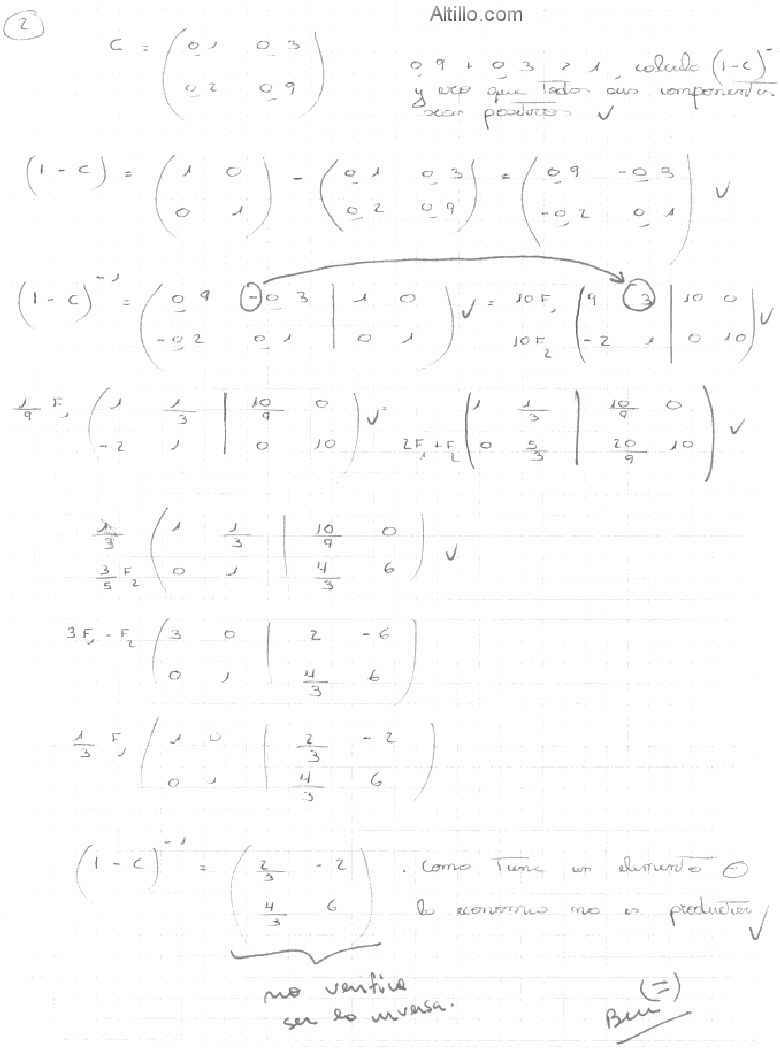
2º Parcial

Cátedra: Fauring (ex Gutiérrez) Sede: Drago

1º Cuat. del 2010

Altillo.com