Altillo.com > Exámenes > UBA - Económicas > Álgebra
|
Álgebra |
1º Parcial |
Cat: Gutiérrez |
Prof: Romero - Reinoso |
1º Cuat. 2001 |
Altillo.com |
En cada ejercicio, escriba todos los razonamientos que justifican la respuesta
1) Sean en Â2 los puntos P=(5,2) y Q=(3, b), y la recta L de ecuación X=l(1, 1) + (3, 1).
Determinar todos los valores de b para los cuales el punto P+Q pertenece a la recta L.
2) Un comerciante inaugura dos locales el mismo día. En el primero hace una inversión inicial de $ 150 y obtiene una ganancia diaria de $ 20. En el segundo hace una inversión inicial de $ 500 y obtiene una ganancia diaria de $ 25. Plantear, para cada local, la ecuación que representa la ganancia en función de los días transcurridos.
Determinar a partir de que día la ganancia del segundo local es mayor que la del primero.
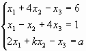
3) Determinar a para que el sistema
sea
compatible para todo valor de K
4) Sea G = {(1, 4, 3, 2) ; (1, 1, 2, 1) ; (1, 7, 4, -3) ; (1, 10, 5, -8)} un sistema de generadores del subespacio S. Encontrar una base de S que no contenga a ningún vector de G